Proposta de Oficina a Distncia
Organizado por Angelo de Moura Guimares
Calculando reas, construindo tabelas e transformando produtos em somas: o que isso tem haver com os logaritmos?
Baseado na oficina:
Calculando reas, construindo tabelas e transformando produtos em somas.
Organizado por Mrcia Maria Fusaro Pinto e Teresinha Fumi Kawasaki
Rgua de Clculo
Considere os nmeros 324 e 245. Vamos comparar o nmero de operaes (mentais) que executamos para som-los e para multiplic-los:
| Em 1614, John Napier descobriu uma forma prtica de tornar possvel transformar multiplicaes em somas e divises em subtrao pela disposio de nmeros com uma regra de equivalncia. Como voc pode perceber um processo deste tipo pode diminuir em muito o trabalho de clculo e foi isto o que Napier conseguiu. |
|
Pouco tempo depois, Edmund Gunter consegui reduzir ainda mais o esforo, criando um dispositivo onde colocou nmeros em uma linha de uma maneira anloga aos achados de Napier.
![]()
Dois nmeros podiam ser ento multiplicados, pela soma da medida da distncia do incio da escala para o primeiro fator e a distncia correspondente ao segundo fator. Por exemplo, para multiplicar 2 x 3 podemos fazer:
a) Marcamos um ponto de referncia na folha de papel:
b) Colocamos o dispositivo com o primeiro nmero (1) a partir deste ponto:
c) Marcamos o ponto onde aparece o nmero 2:
d) Deslocamos o dispositivo de modo que o primeiro nmero (1) fique posicionado sob o ponto que marcamos para o nmero 2:
e) Marcamos o local do segundo fator (nmero 3):
f) Voltamos o dispositivo para a posio original:
g) O nmero que abaixo da ltima marca o produto: o nmero 6.
Assim o produto 2 x 3 foi transformado na soma 2 + 3:

Pouco tempo depois, William Oughtred conseguiu simplificar bastante o processo colocando duas linhas de Gunter de modo que uma pudesse se deslocar em relao a outra, eliminando as marcaes:

Estava inventada a Rgua de Clculo. Verses mais modernas incluiram um cursor deslocante pra facilitar as marcaes:
Abaixo uma rgua moderna mostrando a operao 9 x 8 = 72:

Como voc pode ver, para multiplicar dois nmeros basta deslocar a rgua interna para a direita, adicionando os fatores. Para calcular uma diviso basta deslizar a rgua interna para a esquerda subtraindo os fatores. Veja abaixo o clculo da diviso 63/9 = 7:

Se voc quiser experimentar fazer alguns calculos em uma rgua de clculo existe uma boa simulao disponvel na WEB. Clique aqui para ter acesso esta simulao.
Desde o sculo 17, a rgua de clculo se tornou um instrumento comum com diversas variaes, permanecendo como uma ferramenta muito til por quase trezentos anos. Sua utilizao s desapareceu com o advento das calculadoras eletrnicas.
Mas qual foi a contribuio de John Napier? Qual a lgica que Napier utilizou para dispor os nmeros de modo a transformar multiplicaes em somas e divises em subtrao?
o que vamos verificar a seguir estudando curvas hiperblicas.
Comparando reas debaixo de uma curva hiperblica.
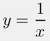
Voc j conhece a funo hiperblica
, cujo grfico :
Considere o ramo do grfico de
para x > 0 , como na Figura abaixo e a rea indicada por R.
Dados dois nmeros a e b , onde a < b, chamaremos de
faixa da hiprbole (e a indicaremos por
) regio R .
Algebricamente, esta regio se escreve:

Calculando a rea da faixa da Hiprbole
Uma idia para se calcular aproximadamente a rea
pode ser pela decomposio do intervalo [a,b] em subintervalos justapostos, como na figura abaixo , e pelo calculo (com valor aproximado, por falta) do valor da rea pela soma das reas dos retngulos no desenho.

Para nos ajudar neste clculo podemos utilizar um aplicativo auxiliar.
Neste aplicativo, voc poder indicar o nmero de partices que deseja utilizar e ele far o clculo aproximado da rea para voc.
Por exemplo para criar 5 parties:
A partir daqui voc poder fazer uso do aplicativo.
Use Alt-tab para ir alterando deste tutorial para o aplicativo e vice-versa.
O aplicativo que vamos usar foi desenvolvido por Teresinha Fumi Kawasaki. Vamos cham-lo de Aplicativo de Kawasaki a partir daqui.
Clique aqui apara ativar o aplicativo de Kawasaki no navegador (browser) da sua mquina.
Referncias Bibliogrficas e Webgrficas
Lima, E. L. (1996) Logaritmos. Coleo do Professor de Matemtica. Sociedade Brasileira de Matemtica. SEGRAC,
Belo Horizonte, Minas Gerais.
Pinto, M.M.F. (1999) Logaritmos. Folha de trabalho elaborada para o Curso Preparatrio para Professores de ensino
Superior (PREPES) Pontifcia Universidade Catlica de Minas Gerais.
Sabatucci, J.; Pinto, M.M.F.; Amelotti, L.A.; Kawasaki, T.F. (2000) Roteiros de Laboratrios. Roteiros elaborados para
trabalhar Logaritmos com o uso de computadores. (Projeto ENIBAM-ProTeM-UFMG).
Hogben, Lancelot. Maravilhas da Matemtica: Influncia e funo da matemtica nos conhecimentos humanos. Edio Livraria Globo. 1946.
MoHPC: The Museum of HP Calculators. Basic Slide RuleInstructions. Disponvel na Internet no endereo http://www.hpmuseum.org/srinst.htm em 27/maio/2006.
MoHPC: The Museum of HP Calculators. Circular Slides Rulers. Disponvel na Internet no endereo
http://www.hpmuseum.org/srcirc.htm em 27/maio/2006.
MoHPC: The Museum of HP Calculators. Slide Rulers. Disponvel na Internet no endereo
http://www.hpmuseum.org/sliderul.htm em 27/maio/2006.
UniVirtual Slide Rule Emulator. Disponvel na Internet em
http://www.taswegian.com/TwoHeaded/UniVirtual/UniVirtual.html em 27/maio/2006.
Kawasaki, Terezinha Fumi. Area. Disponvel na Internet em http://www.mat.ufmg.br/gepemnt/areanew/areaNew.html em 27/maio/2006.
Martin Flashman's Home Page. Estimating Integrals Using Polynomials: A Tale of Two Problems (and a little history as well)
Disponvel na Internet em http://www.humboldt.edu/~mef2/Presentations/Estimations.html
Em 27/maio/2006.