Capa do livro Probabilidade de Barry James

PÓS-GRADUAÇÃO  EM  CIÊNCIA  DA  COMPUTAÇÃO - DCC, UFMG

Fundamentos Estatísticos para Ciência dos Dados A


Notas de aula em forma de livro:

Este livro está incompleto e será atualizado várias vezes ao longo da disciplina.
Última versão disponível: 12/Agosto/2025

Livro de Exercícios

Este livro está incompleto e será atualizado várias vezes ao longo da disciplina. Tem ALGUMAS soluções exibidas imediatamente após cada exercício.
Última versão disponível: 27/Novembro/2025

Slides das aulas:



Nesta coluna está o material coberto em sala de aula
Nesta coluna, material suplementar
Probab x Stats Aula 12 de Agosto de 2025, terça-feira:
 
Descrição do curso: logística, avaliações, etc.
 
Slides da aula
  Introdução ao Curso.
  Diferença Entre Probabilidade e Estatística.
  Modelo Estatístico.

Aqui está o link para o artigo Artificial Intelligence—The Revolution Hasn’t Happened Yet de Michael Jordan (o Miles Davis...)  dando uma visão  bem sóbria  do hype em torno de AI. E aqui está a visão contrária muito interessante de Brendan McCord de Tulco Labs no mesmo número da revista acima: Taking Up the Revolutionary Call: Principles to Guide a Purpose-Driven AI Future

Vídeo da aula no YouTube

Lista 01 de Exercícios - Leia os exercícios do capítulo de revisão de matemática do Livro de Exercícios. Fazer os exercícios 3, 6, 7, 9, 10, 11, 13, 14,  17, 19. Entregar como um único pdf via Moodle.
 
Tenha certeza de que consegue fazer todos os exercícios, este é o pré-requisito mínimo necessário para FECD A. Se você não consegue fazer esses exercícios, procure matricular-se em outro momento, depois de adquirir os pré-requisitos.

Outro pré-requisito: Python + numpy + pandas + matplolib.

Se você não sabe Python, eu sugiro este material de apenas 100 páginas: Free O'Reilly report, A Whirlwind Tour of Python.

Hans Rosling: vídeo do TED Talks, uma aula de de estatística
durando 15 minutos com mais de 11  milhões de visualizações (com legendas em português). Hans faleceu em 2017.

Podcast Artificial Intelligence de Lex Fridman ( Professor de robótica (carros autônomos) no MIT ) - Cada episódio é uma entrevista com alguém (muito) relevante para AI - Muitos episódios interessantes, mais do que eu consigo assistir.


different-types-of-varibalesAula 14 de Agosto de 2025, quinta-feira:

Dados e sua visualização básica: histogramas e scatterplots
Slides apresentados em sala de aula


Vídeo da aula no YouTube

Dados de pressão sistólica: aqui.
Dados de populacao municipal em 2006: aqui
Dados do Campeonato Brasileiro de Futebol, 2014: aqui
Dados de carros: aqui
Capa do Livro FPP

Aula 19 de Agosto de 2024, terça-feira:

Slides: Estudos Experimentais versus Estudos Observacionais
 
Material dos slides é fortemente baseado nos dois primeiros capítulos do livro Statistics, de Freedman, Pisabi, Purves
Aqui estão os dois primeiros capítulos de FPP

Vídeo da 1a parte da aula no YouTube

Vídeo da 2a parte da aula no YouTube

Causalidade: critérios de Sir Bradforfd Hill. Paper clássico, publicado como Bradford-Hill, Austin (1965). The Environment and Disease: Association or Causation?. Proceedings of the Royal Society of Medicine. vol 58, pages 295–300.

Paradoxo de Simpson: artigo Sex Bias in Graduate Admissions: Data from Berkeley, de Peter Bickel,  Hammel, e  O'Connell, publicado na revista Science em  1975.

Lista 02 de Exercícios: Ler os 2 primeiros capítulos de FPP e entregar os exercícios 2, 5 e 9 do Set A (pag 10) e exercícios 1, 5, 7, 11 da seção Review. (Freedman, Pisani e Purves = FPP: veja o pdf ao lado)

ENTREGAR 26/Agosto, ATÉ 23:55

Entregar via moodle na META-TURMA de FECD. Entregar um único arquivo pdf no seguinte formato:  Lista01_PrimeiroNome_UltimoNome.pdf

Alunos sem acesso ao moodle: entregar via e-mail, mesmo formato descrito acima.

Sir Ronald A. Fisher e a controvérsia sobre câncer de pulmão e fumo: o melhor estatístico que já existiu questionou os resultados dos primeiros estudos sobre o efeito do fumo em câncer de pulmão. Texto maravilhoso de Stephen Jay Gould: The smoking guns of eugenics.


Snoopy Feriado
21 de Agosto de 2025, quinta-feira:

DCC WEEK  ---   Não haverá aula  a pedido da chefia

Merece uma cor azul piscina


Probab x StatsAula 26 de Agosto de 2025, segunda-feira:

Slides apresentados em sala de aula

Introdução a Probabilidade.
Espaço Amostral e Probabilidade.

Vídeo da aula no YouTube


Probab x StatsProbab x StatsAula 28 de Agosto de 2025, quinta-feira:

Slides dessa aula são os mesmos da aula anterior

Probabilidade Condicional, Independência e regra de Bayes

Vídeo da aula no YouTube

Vídeo de 3Blue1Brown: espetacular explicação do Teorema de Bayes
Outro  vídeo do 3Blue1Brown: Prova do Teorema de Bayes

Vídeo sobre Teorema de Bayes por Veritassium

Lista 03 de Exercícios
Fazer os seguintes exercícios de probabilidade básica do livro de exercícios:
Seção 2.1: Exerc 1, 2, 4(P3 + P5), 6, 11, 12, 13, 21, 22
Seção 2.2: Exerc 2, 3, 4, 8, 13, 17, 19, 23.

Entrega 04 de Setembro de 2025 até 23:59

Formato: Lista03_PrimeiroNome_UltimoNome.pdf





Aula 02 de Setembro de 2025, terça-feira:

Continuidade da aula anterior, mesmo material

MondrianAula de 04/Setembro/2025, quinta-feira:

Árvores de classificação: slides

Primeiro vídeo da aula no YouTube
Segundo vídeo da aula no YouTube

Probab x Stats Aula de 09/Setembro/2025, terça-feira:

Variáveis Aleatórias. Caso Discreto

Vídeo da aula no YouTube


Aula 11/09/2025, quinta-feira

Distribuição binomial e multinomial (slides são os memso da aula anterior)

Ler o restante dos slides de distribuições discretas por conta própria, a partir da Distribuição Geométrica. LEIA OS EXEMPLOS PRÁTICOS ONDE AS DISTRIBUIÇÕES Binomial, Poisson, etc. APARECEM NO MEU LIVRO.

Ler Capítulo 4 de Meyer (salte a parte sobre variáveis aleatórias contínuas pois ainda não vimos este assunto).
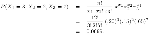
Multinomial
Aula de 16/09/2025, terça-feira:

Distribuição multinomial e de Poisson (slides são os mesmos da aula anterior)

Vídeo da aula no YouTube
Vídeo da aula no YouTube (a partir de geométrica)


Eu fiz um notebook descrevendo em detalhes a parte de números aleatórios em Python.
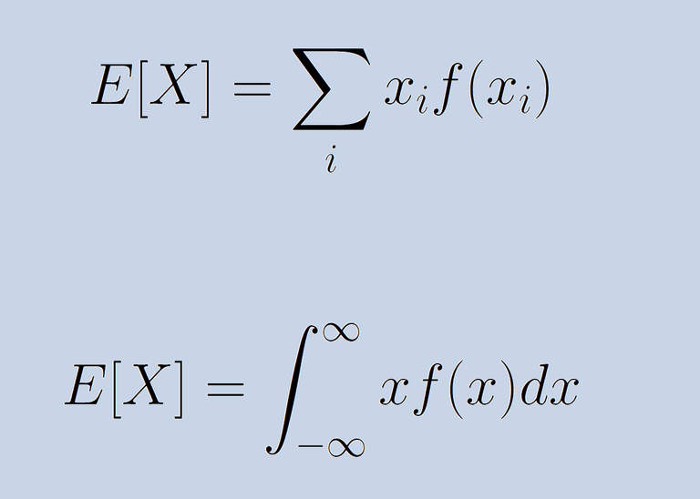
Densidade de probabilidadeE(X)Aula de 18/09/2025, quinta-feira:

Slides iniciais para variáveis aleaórias contínuas

Variáveis aleatórias contínuas: E(X)

Vídeo da aula no YouTube

Vídeo da aula no YouTube - até 1:03:00

Capítulo 9 de Meyer

Ler o capítulo sobre Variáveis Aleatórias do livro bem antigo mas excelente de Paul Meyer.


Math TestScared FaceAula de 23/setembro/2025, terça-feira:

1a. Prova de FECD-A de 2025

Material coberto pode não ser idêntico ao deste semestre.
1a Prova de 2025 - Gabarito de 2025: AQUI
1a Prova de 2024 - Gabarito de 2024: AQUI
1a Prova de 2023 - Gabarito de 2023: AQUI
1a prova de 2021 - Gabarito da prova de 2021: AQUI
1a. Prova de 2020  - Sem Gabarito
1a. Prova de 2019 -  Gabarito da prova de 2019: AQUI
1a. Prova de 2018 -  Gabarito da prova de 2018: AQUI
1a. Prova de 2017 -  Gabarito da prova de 2017: AQUI
1a. Prova de 2016 -  Gabarito da prova de 2016: AQUI
1a. Prova de 2015 -  Gabarito da prova de 2015: AQUI
1a. Prova de 2014 -  Gabarito da prova de 2014: AQUI
1a. Prova de 2013 - Sem gabarito...
Chebyshev Aula de 25/setembro/2025, quinta-feira:

Slides: Propriedades de E(X), DP e variância,

Vídeo da aula no YouTube - a partir de 1:03:00 até 1:13:00

Vídeo: Teste Qui-Quadrado e final de v.a.s contínuas
 

ChebyshevAula de 30/setembro/2025, terça-feira:

Desigualdade de Tchebyshev

Teste de Kolmogorov (a partir do slide 33)
Vídeo da aula no YouTube: Gaussiana e Kolmogorov







KolmProbab x StatsAula de 02/outubro/2025, quinta-feira:

Slides: Variáveis aleatórias independentes e identicamente distribuídas (i.i.d.)

Vídeo no YouTube (a partir de 1:15:50)
Slides: Kolmogorov-Smirnov e Teste Qui-quadrado



Alguns comandos em python com imperadores romanos.. Ave César... 

Dados dos imperadores romanos
Transformada inversa Aula de 07/outubro/2025, terça-feira:

Monte Carlo: slides: Simulação Monte Carlo

Python - geração de números aleatórios
Ler capítulo sobre Simulação Monte Carlo no Livro-Texto.

Início de Monte Carlo: geração de U(0,1)
Vídeo no YouTube: a partir de 55:55

Continuação de Monte Carlo no vídeo abaixo:
Vídeo no YouTube

Importance Sampling Aula de 09/outubro/2025, quinta-feira:

Final de Monte Carlo (slides são os mesmos de antes)
Terceiro vídeo:
Vídeo no YouTube ( até 59:50 min)
pmf Aula de 14/outubro/2025, terça-feira:

Vetores Aleatórios: Distribuição Conjunta e marginal
Slides.
Vídeo no YouTube ( a partir de 59:50 min)

Vídeo no YouTube
Random Vector Aula de 16/outubro/2025, quinta-feira:

Vetores Aleatórios Discretos e Contínuos
Slides (mesmos da aula anterior).


Vídeo no YouTube


Probab x Stats Aula de 21/outubro/2025, terça-feira:


Slides. Normal ou Gaussiana Bivariada e Correlação. Distância Estatística.
Livro excelente de Johnson e Wichern - Capítulo 4 -
Applied Multivariate Statistical Analysis


Vídeo no YouTube

Vídeo no YouTube(até 58 min)
Distância Estatística Aula de 23/outubro/2025, quinta-feira:

Slides (slides no mesmo arquivo da aula anterior): Densidade gaussiana, matriz de correlação e autovetores


Vídeo no YouTube (a partir de 58 min)
Math TestScared Face Aula de 28/outubro/2025, terça-feira:

2a. Prova de FECD-A de 2025
Prova02 de 2016
Gabarito de prova02 de 2016

Prova 02 de 2017
Gabarito de prova02 de 2017 (NAO consigo encontra-lo, sorry)

Prova 02 de 2018
Gabarito de prova02 de 2018

Prova 02 de 2019
Gabarito de prova 02 de 2019

Prova 02 de 2021
Gabarito de prova 02 de 2021

Prova 02 de 2023:
Gabarito de prova 02 de 2023:

Prova 02 de 2024:
Gabarito de prova 02 de 2024:

Scatter Plot AçõesAula de 30/outubro/2025, quinta-feira:


Propriedades da Gaussiana Multivariada: combinações lineares (slides no mesmo arquivo da aula anterior)




Vídeo no YouTube

Duas elipsesAula de 04/novembro/2025, terça-feira:

Mais Propriedades da Gaussiana Multivariada: condicional (slides no mesmo arquivo da aula anterior)



Vídeo no YouTube

Probab x Stats


Aula de 06/novembro/2025, quinta-feira:

Slides: PCA

Vídeo no YouTube
DATASETS para a lista de exercícios:
Yale Faces para Reconhecimento de Imagens
Zip Code Manuscritos:
        Info 
        Train Data (gzipped)
        Test Data (gzipped)

Stiffness Data: clique aqui.
Probab x StatsAula de 11/novembro/2025, terça-feira:

More about PCA (same slides da aula anterior)





Probab x StatsAula de 13/novembro/2025, quinta-feira:

Slides: Modelo de Fatores Latentes: Análise Fatorial

Vídeo no YouTube


Beer Dataset para a lista de exercícios

Documento: FAinR.pdf
Probab x StatsLDA FisherAula de 18/novembro/2025, terça-feira:


Slides: Classificação e classificação ótima

Nós não cobrimos Linear Discrimant Analysis este ano
Dados: Crânios egípcios


Vídeo 01 no YouTube

Vídeo 02 no YouTube
Iterated Variance
Aula de 20/novembro/2025, quinta-feira:

Esperança e Variância Iterada

Material: Lecture Notes of Rachel Fewster
A partir da página 8 desse pdf
Um curso online com excelente explicação desse tópico


Capítulo de um livro excelente sobre esperança e variãncia iterada
LLNAula de 25/novembro/2025, quinta-feira:

Teoremas Limite: LGN e TCL
Teoremas Limite: Lei dos Grandes Números e Teorema Central do Limite: Meus Slides 




Vídeo no YouTube
CLT
Aula de 27/novembro/2025, quinta-feira:

Aplicação Prática dos teoremas limite:  Slides de Patrick



Vídeo no YouTube

University of  Washington- SeattleAula de 02/dezembro/2025, terça-feira:
AULA OPCIONAL
Como ir para uma pós-graduação nos EUA/Canadá com bolsa de lá.
Slides da apresentação


Vídeo no YouTube
Math TestScared Face Aula de 04/dezembro/2025, quinta-feira:

3a. Prova de FECD-A de 2025
Prova3 antigas - Com gabarito
Prova 2015

Prova 03 de 2016 e Prova 04 de 2016

Prova 2017

Prova 03 de 2018 e Prova 04 de 2018

Prova 03 de 2019 e Prova 04 de 2019

Prova 03 de 2020, com gabarito

Prova 03 de 2021
Gabarito da Prova 03 de 2021

Prova 03 de 2024
Gabarito de Prova 03 de 2024

Math Test Homer Aula de 09/dezembro/2025, terça-feira:

Prova Substitutiva de FECD-A de 2025










Snoopy Feriado


FERIADO.

Merece uma cor azul piscina